Christian Schweitzer, TGM Wien
 

Lichtverteilung einer Glühlampe

Mathematische Inhalte:

Funktion in Polarkoordinatendarstellung

Integralrechnung (Komplanation)

Kurzzusammenfassung:

Mit der Formel für die Berechnung des Inhalts einer Drehfläche wird aus der Lichtverteilungskurve einer Glühlampe der Lichtstrom ermittelt.

Lehrplanbezug:

3. Jahrgang, Anwendungen der Integralrechnung

Zeitaufwand:

2 Stunden

Mediales Umfeld:

DERIVE 3.0
 Datei zum Herunterladen: Lampe.mth

1. Grundbegriffe

Für dieses Beispiel benötigt man nur zwei einfach zu verstehende Begriffe aus der Lichttechnik:

Der ist die gesamte von einer Lichtquelle abgegebene und vom Auge bewertete Strahlungsleistung. Einheit: Das Lumen (lm). Diese sichtbare Strahlungsleistung einer Lichtquelle wird nicht in Watt angegeben, weil die Empfindlichkeit des Auges von der Wellenlänge des Lichts abhängig ist. Die Lichtstärke I ist ein Maß für die Intensität des Lichts in eine bestimmte Richtung. Einheit: Die Candela (cd).

 

Da die Lichtstärke für eine Lichtquelle im allgemeinen von der Richtung abhängig ist wird in Datenbüchern zu Lampen und Leuchten die sogenannte Lichtverteilungskurve angegeben (Abbildung 1):

Abbildung 1

 

Man denkt sich die Lampe punktförmig im Pol eines Polarkoordinatensystems, der Polstrahl zeigt in diesem Fall nach unten. Die Richtung wird durch den Winkel angegeben, die Lichtstärke entspricht maßstäblich dem Abstand des entsprechendne Kurvenpunktes vom Pol. Die räumliche Verteilung entsteht durch Rotation dieser Kurve um die senkrechte Achse.

Man kann nun die Abhängigkeit der Lichtstärke von der Raumrichtung mathematisch als Funktion  als Raumwinkel in sr auffassen.

Zwischen dem  und der Lichtstärke I gilt der Zusammenhang:

 

2. Allgemeine Berechnung

Da die Raumverteilung durch Rotation der Lichtverteilungskurve um die senkrechte Achse gegeben ist kann man den Lichtstrom an Hand Abbildung 2 anschreiben. Abbildung 2

 

Dabei lassen wir die Kurve um die x Achse rotieren, damit die in der Mathemtik übliche Zählung für den Winkel verwendet werden kann - das heißt das Diagramm aus dem Datenbuch wird um  nach links gedreht.

Mit

wird

.

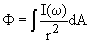
Für dA verwenden wir den Kegelstumpfmantel mit dem Radius und der Mantelhöhe ds:

und mit

erhält man für den Lichtstrom das Integral

 

 

Für kann man leicht nachweisen, dass  gilt.

 

3. Lösung mit DERIVE

Im ersten Schritt muss nun für die gegebene Lichtverteilungskurve eine Näherungsfunktion gefunden werden. Dazu werden für die Winkel  Werte der Lichtstärke aus dem Diagramm in eine Datenmatrix eingegeben:

Anschließend sucht man mit FIT eine Ersatzfunktion und definiert sie als Funktion I():

Nun kann das Integral wie vorhin abgeleitet berechnet werden:

Das Ergebnis kommt der Angabe im Datenblatt sehr nahe: Um nicht für jeden Lampen- oder Leuchtentyp gleicher Bauart eine eigene Lichtverteilungskurve zeichnen zu müssen, werden die Lichtstärkenwerte auf einen Gesamtlichtstrom von 1000 Lumen bezogen. Beträgt der Gesamtlichtstrom einer Lampe nun zum Beispiel 4000 Lumen, so müssen die aus der Lichtverteilungskurve entnommenen Lichstärkenwerte mit dem entsprechenden Faktor (in diesem Fall 4) multipliziert werden.

Abbildung 3 zeigt die grafische Darstellung der Tabellenwerte aus Ivtab und der Ersatzfunktion I().

  Abbildung 3

 

Hinweis:

Zum Zeichnen der Datenpunkte muss man die Spalten in der Tabelle Ivtab vertauschen:

4. Lösung mit dem TI-92

Beim TI-92 wird zunächst mit dem Data/Matrix Editor eine Datei lampe erzeugt:
 

 

Abbildung 4

In der ersten Spalte wird einfach der Winkel in Altgrad eingegeben und in der zweiten Spalte in rad umgerechnet. Die dritte Spalte enthält die Lichtstärken aus dem Diagramm zu den entsprechenden Winkeln. in der vierten und fünften Spalte wird vom Polar- in das kartesische Koordinatensystem umgerechnet, damit die Daten grafisch dargestellt werden können (Ich habe keine andere Möglichkeit gefunden.) 

 

 

Abbildung 5

Die zweite und dritte Spalte wird nun im HOME-Screen als Liste unter winkel und lichtst gespeichert. Die Funktion QuartReg ermittelt die Polynomfunktion 4. Grades, mit regeq(x) wird sie angezeigt. 

 

Eine übersichtliche Anzeige der Koeffizienten des Näherungspolynoms liefert ShowStat. Abbildung 7 zeigt die grafische Darstellung der Tabellenwerte und der Ersatzfunktion auf dem TI-92 entsprechend Abbildung 3. 

 

 

Abbildung 6 

 

 

Abbildung 7