Roland Pichler, HTBLA Kapfenberg
 

Näherungspolynome - 2. Teil

Mathematische Inhalte:

Anwendung:

Vergleich zwischen Taylorpolynomen einer Funktion an verschiedenen Entwicklungsstellen und Näherungspolynomen

Kurzzusammenfassung:

Die Interpolationspolynome durch fünf Stützpunkte und Taylorpolynome werden mit Mathcad und Derive entwickelt, wobei verschiedene Entwicklungsstellen der Taylorpolynome betrachtet werden.

Lehrplanbezug:

4. Jahrgang, alle Abteilungen

Zeitaufwand:

Ohne Programmeinschulung für die Schüler 2 bis 3 Stunden.

Mediales Umfeld:

Hardware: Personal Computer

Software: DERIVE 3.0, Mathcad 5.0

Dateien zum herunterladen: INTPOL2.MCD (Mathcad-File), INTPOL2.MTH (Derive-File)

  Anmerkungen:

Dieser Artikel ist eine Weiterführung des Beitrages "Näherungspolynome - 1.Teil" in der 8. Ausgabe (Beitrag 4). Es werden daher gleiche Bezeichnungen und gleiche mathematische Verfahren verwendet.

 

1. Inhalte des Beitrages

Ein Näherungspolynom für eine Funktion f(x) soll für mehrere Stützpunkte durch ein lineares Gleichungssytem bestimmt werden; anschließend wird eine Taylorentwicklung dieser Funktion an zwei Entwicklungsstellen durchgeführt und die Koeffizienten verglichen.

2. Ausführung

2.1. Aufgabenstellung

Die Funktion  soll an fünf Stützpunkten durch ein Interpolationspolynom angenähert werden, wobei die Wahl der Stützpunkte von der Entwicklungsstelle des Taylorpolynoms abhängen soll. Danach erfolgt die Reihenentwicklung von f(x) an den Stellen  und .

2.2. Berechnung mit Mathcad

Nun erfolgt die Entwicklung in eine Taylorreihe um die Stelle .
Dabei verwendet man die Mathcadoperation Reihenentwicklung im Menü Symbolik.

Der Koeffizientenvergleich zeigt, dass relativ große Unterschiede bei der einzelnen Koeffizienten auftreten. Diese werden aber um so kleiner, je feiner man die Schrittweite h wählt.
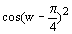
Nun erfolgt die Entwicklung um einen anderen Punkt, nämlich .
Mit Mathcad kann man nur an der Stelle  eine Taylorreihenentwicklung durchzuführen. Will man an einer anderen Stelle () entwickeln, muß man eine Variablensubstitution und Rücksubstitution machen. Anstatt der Funktion  wird die Funktion  mit dem Befehl Reihenentwicklung entwickelt; anschließend führt man die Variablensubstitution  durch.

Man geht dabei folgendermaßen vor:

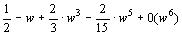
Eingabe von   Markieren der Variablen w  Menü Symbolik, Menüpunkt Reihenentwicklung liefert   Anschreiben von   Diesen Ausdruck markieren und in die Zwischenablage kopieren  im Term  die Variable w markieren und den Menüpunkt nach Variable ersetzen aktivieren.

Dieser Term entspricht der Taylorreihenentwicklung von  an der Stelle .
Nun erfolgt die Berechnung des Näherungspolynoms in der Umgebung von . Dazu ersetzt man beim Näherungsverfahren  durch  und kopiert den gesamten Ablauf auf eine neue Seite.

 Der Graph mit dem Näherungspolynom und der Taylorreihenentwicklung sieht nun folgendermaßen aus:
 

2.3. Berechnung mit Derive

Wie in Ausgabe 8, Beitrag 4 beschrieben erhält man am schnellsten das Näherungspolynom über die FIT - Funktion. Die Eingabe erfolgt in der Funktion FIT in Matrixform. ENTER und Simplify bzw. approX liefern die exakte, bzw. numerisch approximierte Lösung.


Der Algorithmus der Funktion FIT ist aber in diesem Fall nicht sehr genau; die Koeffizienten  und  müßten nämlich Null sein. (Aufgrund der Wahl der Stützpunkte muß das Näherungspolynom eine gerade Funktion sein.)

Die Taylorreihenentwicklung erhält man folgendermaßen:

Man wählt im Menü Calculus den Menüpunkt Taylor mit den entsprechenden Einstellungen. Simplify liefert das Ergebnis.

Die graphische Darstellung von f(x), p(x) und pot(x) mit Derive:

 Die Berechnung mit  bringt folgende Ergebnisse:

Taylorreihenentwicklung durch den Befehl 

Der Graph hat nun folgendes Aussehen:

 

Literaturhinweise:
Handbücher zu Derive und Mathcad,

Gert Böhme: Algebra, Analysis 1, Analysis 2; Springer Verlag, 1991