Christian Schweitzer, TGM Wien
| Geschwindigkeitsproblem (2. Teil) |
Mathematische Inhalte:
Kurzzusammenfassung:
Im ersten Teil dieses Artikels (Aussendung [5] Beitrag 6) wurde die Hardware und Software für die Berg-und-Tal-Bahn beschrieben sowie auf die Möglichkeit der Auswertung mit Tabellenkalkulation oder CAS hingewiesen. Im vorliegenden zweiten Teil wird auf eine Behandlung der Meßergebnisse mit DERIVE näher eingegangen. Dabei wird gezeigt, wie man die Meßkurve durch eine Ausgleichskurve annähern kann.
Lehrplanbezug:
3. Jahrgang, Differenzieren, Polynomfunktionen
Zeitaufwand:
4 Stunden
Mediales Umfeld:
Berg- und Tal Bahn mit entsprechendem Programm (BTB 1.3), Laptop mit Projektionsmöglichkeit, DERIVE 3.0
1. Aufnahme einer Messung
Das Programm BTB n wird von der DOS-Ebene aus gestartet. Der Parameter n entspricht der Nummer der seriellen Schnittstellen, an der die Bahn angeschlossen ist. Ohne Parameterangabe wird n = 2 (COM2:) verwendet.
Nach dem Start hat man im Hauptmenü zunächst die folgenden Möglichkeiten:
[F2]: Durchführen einer Messung, was eine entsprechende Hardware vorraussetzt.
(genaue Beschreibung im ersten Teil [5] Beitrag 6).
[F7]: Laden der Daten einer bereits durchgeführten und abgespeicherten Messung. In diesem Fall ist keine Bahn notwendig. Auf der beiliegenden Diskette sind 3 Messungen unter FAHRT1.TXT, FAHRT2.TXT und FAHRT3.TXT gespeichert.
| ® Die
weiteren Erläuterungen und Bilder beziehen sich auf die Daten der
FAHRT1.
Nach dem Laden dieser Datei kann man nun im Hauptmenü mit [F3] eine Tabelle der Meßwerte (Zeitpunkte) und der berechneten Geschwindigkeiten und Beschleunigungen im entsprechenden Meßpunkt auf dem Bildschirm anzeigen.
|
Abb.
1 |
Die Bedeutung der einzelnen Bezeichnungen und die verwendeten Formeln sind im ersten Teil dieses Beitrags ([5] Beitrag 6) genau erläutert.
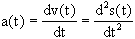
Mit der Taste [F4] kann man vom Hauptmenü aus eine grafische Darstellung des Weg-Zeit-, Geschwindigkeit-Zeit- und Beschleunigung-Zeit-Diagramms auf dem Bildschirm anzeigen. (Abb. 2)

In diesem Bild kann bereits auf einige Eigenschaften der ersten und zweiten Ableitung einer Funktion hingewiesen werden:
Es gilt:
(1)
(2)
Mit [F6] hat man in dieser neuen Version 1.3 die Möglichkeit die Daten in zwei Formaten abzuspeichern: Das ASCII-Datei-Format eignet sich für die weitere Verwendung der Meßwerte in einer Tabellenkalkulation. Die zweite Wahl erzeugt eine DERIVE-Datei, auf die im nächsten Abschnitt eingegangen wird.
Mit [F10] beendet man das Programm.
2. Die vom Programm BTB erzeugte DERIVE-Datei FAHRT1.MTH
In der ersten Zeile steht eine Überschrift. In der zweiten Zeile wird die Verwendung von Variablennamen mit mehr als einem Buchstaben zugelassen.

Die Datenmatrix tmwtab (ZeitpunktMeßWert-Tabelle) enthält in der (k+1)-ten Zeile die Meßergebnisse für den Kontakt Nr. k, wobei k = 0 dem Startpunkt entspricht. In der i-ten Spalte steht der entsprechende Wert des Zeitpunkts tki in ms. (vergleiche [5] Beitrag 6 - Seite 2)

stab ist der Vektor, der den jeweils zurückgelegten Weg in m enthält. Da die Meßpunkte (=Kontakte) auf der Bahn einen Abstand von 10 cm haben muß die Laufvariable k durch 10 dividiert werden, damit man als Einheit m erhält.

ttab ist der Vektor, der die Mittelwerte der pro Kontakt k gemessenen Zeiten enthält. Dabei werden die entsprechenden Werte aus der Datenmatrix tmwtab entnommen. Die zusätzliche Division durch 1000 rechnet die Meßzeiten in s um.

3. Diskrete Auswertung
Erzeugt man in DERIVE mit den Formeln für die Geschwindigkeit bzw. Beschleunigung ([5] Beitrag 6 - Seite 2) Datenmatrizen, so kann man die gleichen Kurven darstellen, die das Programm BTB über die Taste [F4] auf dem Bildschirm anzeigt.
Zunächst werden die Vektoren stab und ttab zu einer Datenmatrix zusammengestellt. Diese entspricht einer Weg-Zeit-Tabelle:
[A]uthor: sttab := [ttab, stab]`
![]()
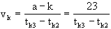
Für die Geschwindigkeit des Waggons bei einem Kontakt k gilt
m/s, (3)
wobei sich der Zähler a-k = 23 mm aus der Differenz Achsabstand-Kontaktlänge ergibt und die Zeit in ms einzusetzen ist. In DERIVE wird die entsprechende Datenmatrix vttab einer Geschwindigkeit-Zeit-Tabelle folgendermaßen erzeugt:
[A]uthor: v:=APPEND([0],VECTOR(23/(tmwtab¯ k¯ 3-tmwtab¯ k¯ 2),k,2,11))
Anmerkung: Das Zeichen ¯ erhält man in DERIVE mit der Tastenkombination [Alt]-[V]. Man kann stattdessen auch SUB schreiben.

Erläuterung: Da sich die Formel (3) auf die erste Zeile der Datenmatrix tmwtab nicht anwenden läßt (Division durch Null) muß die Anfangsgeschwindigkeit v0 = 0 getrennt festgelegt werden. Mit APPEND wird dieser Wert dann den restlichen errechenbaren Geschwindigkeitswerten vorangestellt.
Vereinfacht man nun den Ausdruck für vtab mit [S]implify(#8), so erhält man

Jetzt stellt man die Datenmatrix vttab für die Geschwindigkeit-Zeit-Tabelle zusammen:
[A]uthor: vttab:=[t,v]`
![]()
Für die Beschleunigung geht man entsprechend vor. Es gilt:
m/s2 (4)
Die Umsetzung in DERIVE:
[A]uthor: atab:=VECTOR((1/(tmwtab¯ k¯ 4-tmwtab¯ k¯ 4)-1/(tmwtab¯ k¯ 2-tmwtab¯ k¯ 1))/
(tmwtab¯ k¯ 3+tmwtab¯ k¯ 4-tmwtab¯ k¯ 1-tmwtab¯ k¯ 2)*38000,k,2,11)
Für den Zeitpunkt t = 0 gibt es keinen Beschleunigungswert. Daher werden die Werte aus der Matrix ttab erst ab der zweiten Zeile verwendet. Da der Vektor ttab um ein Element (erste Zeile) zuviel enthält wird diese für das Erzeugen der Datenmatrix für die Beschleunigung-Zeit-Tabelle mit DELETE_ELEMENT eliminiert.
[A]uthor: attab:=[DELETE_ELEMENT(ttab,1),atab]`
![]()
Vereinfacht man nun die Ausdrücke #7, #10 und #12 mit [S]implify kann man mit [P]lot [P]lot die jeweils markierte vereinfachte Datenmatrix grafisch anzeigen:

Die zu diesem Abschnitt 3 gehörende Datei hat auf der Diskette die Bezeichnung FAHRT1DK.MTH.
4. Erzeugen einer Ausgleichsfunktion:
Es wird nun wieder von der Datei FAHRT1.MTH ausgegangen, die das Programm BTB erzeugt hat.
Zunächst wird die Weg-Zeit-Tabelle sttab festgelegt:
![]()
Anschließend erfolgt die Definition der Struktur einer Polynomfunktion f, die den Punkten der Weg-Zeit-Messung angenähert werden soll
[A]uthor: f:= [[t,a5*t^5+a4*t^4+a3*t^3+a2*t^2+a1*x+a0]]
Die Verbindung der Polynomfunktion f mit der Datenmatrix sttab (Weg-Zeit-Tabelle) erfolgt durch:
[A]uthor: stftab := APPEND(f, tabst)
![]()
Mit der DERIVE-Funktion FIT wird aus der in #9 erzeugten Matrix eine Polynomfunktion stf erzeugt. Diese Ausgleichsfunktion minimiert die Summe der Quadrate der Abweichungen zu den Meßpunkten.
[A]uthor: stf := FIT(stftab)
![]()
Durch Vereinfachen von #10 ([S]implify #10) erhält man die Polynomfunktion

Nach Formel (1) wird die Geschwindigkeit-Zeit-Funktion vtf als erste Ableitung der Weg-Zeit-Funktion stf festgelegt:
[A]uthor: vtf:=DIF(stf,t) und anschließendes [S]implify ergibt

Nach Formel (2) wird die Beschleunigungsfunktion atf als erste Ableitung der Geschwindigkeit-Zeit-Funktion vtf festgelegt.
[A]uthor: atf:=DIF(vtf,t) und anschließendes [S]implify ergibt

Die Näherungsfunktionen für den Weg s, die Geschwindigkeit v bzw. die Beschleunigung a in Abhängigkeit von der Zeit t haben für dieses Beispiel die folgende Gestalt:
m
m/s
m/s2
|
Einen genaueren Vergleich lassen die beiden nachsthenden Abbildungen zu:

Abb. 5
Darstellung der Näherungsfunktion vtf
und der Meßergebnisse aus vttab

Abb. 6
Darstellung der Näherungsfunktion atf
und der Meß Meßergebnisse aus attab
Die zu diesem Abschnitt 4 gehörende Datei hat auf der Diskette die Bezeichnung FAHRT1AN.MTH.