Robert Salvador, Innsbruck - HTL 1

RC-Tiefpass

Mathematische Inhalte:

Differentialgleichung, Laplace-Transformation, Differenzengleichung, rekursive Folge
Kurzzusammenfassung: Für einen RC-Tiefpass wird, ausgehend von der Kirchhoff´schen Maschengleichung, die Differentialgleichung des Übertragungssystems abgeleitet. Die Lösung erfolgt:
1. exakt durch Lösung mittels Laplace-Transformation
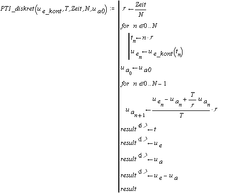
2. näherungsweise durch Diskretisierung der Maschengleichung als rekursive Folge
Lehrplanbezug:
Mathematik, Impulstechnik, Nachrichtentechnik: 3. - 4. Jahrgang
Zeitaufwand: 2 - 4 Stunden Mediales Umfeld: PC mit MATHCAD PLUS 6.0 oder 7.0 1. Inhalte des Beitrages

Für einen RC-Tiefpass wird, ausgehend von der Kirchhoff´schen Maschengleichung, die Differentialgleichung des Übertragungssystems abgeleitet. Da die Lösung von Differentialgleichungen dieses Typs (1. Ordnung und linear) aber ohnehin zum Standardrepertoire des Mathematikunterrichts gehören, soll hier nicht die "klassische" Lösungsmethode behandelt werden. Vielmehr werden zwei Möglichkeiten gezeigt, die den Techniker ansprechen sollen.

Konkret werden die Ausgangsspannung ua(t) und die Spannung uR(t) an einem einstufigen RC-Tiefpaß für verschiedene Eingangsspannungen ue(t) berechnet:

1. exakt durch Lösung mittels Laplace-Transformation

2. näherungsweise durch Diskretisierung der Maschengleichung als rekursive Folge (dieser Teil eignet sich ohne weiteres bereits für den dritten Jahrgang)

Schaltung des RC-Tiefpass: