Gerald KAISER , HTBL Kapfenberg
| Einsatz moderner Hilfsmittel im Mathematikunterricht |
Mathematische Inhalte:
Rollkurven (Hypozykloiden), Numerische Berechnung von Fourierkoeffizienten, Näherungspolynome, Lineare Gleichungssysteme, Matrizenrechnung
Anwendung:
In den verschiedensten Jahrgängen und Abteilungen
Kurzzusammenfassung:
Es wird mit verschiedenen Systemen ( TI 92, MathCath und DERIVE) vor allem auf die graphische Darstellung von Hypozykloiden, Rekonstruktion einer Fourierreihe und Näherungspolynomen Wert gelegt..
Lehrplanbezug:
Je nach Lehrplan in den verschiedensten Jahrgängen und Abteilungen.
Mediales Umfeld:
TI 92, MathCad und Derive
Anmerkungen:
Entscheidend für den Einsatz von modernen Medien ist, dass die Schüler die Theorie der Beiträge verstehen. Da bei diesem Beitrag vor allem die Graphik im Vordergrund steht, wird es sonst nur zu einem "Eintippen" und der gewünschte Effekt das Verständnis des mathematischen Hintergrundes geht dabei verloren.
Die Verfügbarkeit von leistungsfähigen Taschenrechnern (z.B. TI 92) und von Computeralgebra-systemen hat erhebliche Auswirkungen auf den Mathematikunterricht. Für den Mathematiklehrer ist (wird) es sehr schwierig, die volle Leistungsfähigkeit dieser Systeme mit dem gewohnten Unterricht
in Einklang zu bringen. Es eröffnen sich dadurch völlig neue Möglichkeiten. Die Graphikfähigkeit hilft den Schülern, z.B. die Änderung eines Parameters sofort zu erkennen.
Durch den Einsatz dieser modernen Hilfsmittel ist es aber wichtig, dass die Schüler ein ent-sprechendes mathematisches Grundwissen besitzen um damit auch sinnvoll umgehen zu können. Das Abschätzen von Ergebnissen bzw. die Richtigkeit der Ergebnisse zu überprüfen ist ein ganz wichtiger Punkt im modernen Mathematikunterricht.
Der Einsatz moderner Medien im Mathematikunterricht muss sehr behutsam und dosiert erfolgen. Weiters sollen die Schüler langsam mit den einzelnen Medien vertraut gemacht werden. D.h. sie sollen nur die Befehle kennenlernen, die sie gerade brauchen. Diese Befehle müssen aber auch ver-langt werden und in Form von Wiederholungen abgefragt werden.
Persönliche Erfahrungen:
Zur Zeit verwende ich den TI 92 in 5 Klassen ( zwei erste, zwei zweite und einen dritten Jahrgang).
Ich bin der Meinung, dass man zunächst auf das mathematische Verständnis Wert legen soll und dann mit dem Taschenrechner dieses Verständnis zu festigen.und auszubauen. Aus diesem Grund setze ich den TI 92 bereits im ersten Jahrgang ein um z.B. Äquivalenzumformungen, Lösen von linearen Gleichungssystemen (Einsetzungsverfahren usw.) zu üben. Dabei bleibt das Problem im Vordergrund und gleichzeitig lernen die Schüler mit dem TI 92 umzugehen.
1. Inhalte des Beitrages
a) Hypozykloiden:

Bei der Eingabe der Gleichung in Parameterform muss man beim TI 92 berücksichtigen, dass die Variablen nur als Kleinbuchstaben eingeben werden können.
Für R setzt man gr (Groß R) und für r setzt man kr (Klein r).
|
|
|
a=1: gestreckte Hypozykloide
![]() |
![]() |
Unterteilt man den Bildschirm so kann man den Zusammenhang zwischen dem Parameter t und den x- und y-Werten zeigen, indem man die abgetasteten Werte des Funktionsgraphen mit den Werten in der Tabelle vergleicht.
a=2: gespitzte Hypozykloide a = 3: geschlungene Hypozykloide
![]() |
![]() |
Wichtig: Damit auf beiden Koordinatenachsen die gleichen Einheiten muss man vor dem Zeichnen [F2][5] (5:ZoomSqr) aktivieren.
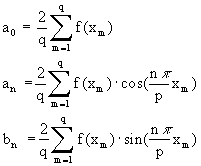
b). Numerische Berechnung von Fourierkoeffizienten mit Derive
Für die Berechnung der Fourierkoeffizienten ergibt sich dadurch:
Man unterteilt das Intervall [-p ,p
] in q gleichlange Intervalle mit der Länge
.
Die Funktionswerte f(xm) können am rechten Intervallrand mit ![]()
bzw. in der Intervallmitte mit
berechnet werden.
(Natürlich könnte man auch die Funktionswerte am linken Intervallrand berechnen.)
| Funktionen mit der Periode 2p : | Funktionen mit der Periode 2p : |
![]() |
![]() |
Fourierreihe:

Die Reihe ist bis zur n.Oberwelle dargestellt. Daher sind (2n+1) Koeffizienten zu bestimmen.
Dies bedeutet wiederum, dass mindestens (2n+1) Funktionswerte bzw. Abtastungen erforderlich sind.
Das heißt, dass für eine Reihe mit n Oberwellen mindestens
(2n+1)Unterteilungen ( q
2n+1)
erforderlich sind bzw. für die Ordnung n der Oberwelle , die man
durch q Abtastungen darstellen kann , die Beziehung
gilt .
Von einer periodischen Funktion mit der Periode 2p sind folgende Wertepaare gegeben.
|
xm |
0 | |||||||||||
| f(xm) | 0.5 | 0.85 | 0.97 | 1 | 0.98 | 0.93 | 0.84 | 0.7 | 0.53 | 0.36 | 0.2 | 0 |
| xm | p | |||||||||||
| f(xm) | 0.2 | 0.36 | 0.53 | 0.7 | 0.84 | 0.93 | 0.98 | 1 | 0.97 | 0.85 | 0.5 | 0 |
Die Punktepaare sind durch eine Fourierreihe anzunähern.
Dadurch ergibt sich folgende Eingabe:

Man gibt die Funktionswerte nacheinander ein und definiert diesen Zeilenvektor als F(xm).
Mit Approx #2,#3 und #4 erhält man die Fourierkoeffizienten.
Als nächstes definiert man unterschiedliche n und mit Approx #5 erhält man die entsprechenden
Fourierreihen.


Rekonstruktion einer Funktion durch eine Fourier-Reihe
Hinweis: Die abzutastende Funktionsgleichung sollte nicht zu hohe Frequenzen
aufweisen, da es sonst mit dem Abtasten(bzw. Abtastintervall) Schwierigkeiten gibt.
Das Argument der Sinus- bzw. Cosinusfunktion soll höchstens 4x sein.
Die Funktionsgleichung in diesem Beispiel lautet: y = sinx + 2 cosx - sin3x.
1.Betrachtung:
Die zu untersuchende Funktion wird zunächst 6 mal abgetastet.

Zunächst definiert man q = 6 und mit dem Befehl Simplify #1 und anschließendem Ploten
erhält man folgendes Bild:

Den Cursor bewegt man zu den einzelnen Schnittpunkten und trägt die Koordinaten in eine
vorbereitete Tabelle ein.
|
xm |
f(xm) |
xm |
f(xm) |
|
|
-1,88
|
|
1,84 |
|
|
0,14 |
|
-0,14 |
|
0 |
2 |
p |
-1,98 |
In der Zeile 8 definiert man die ermittelten Funktionswerte als Vektor.
8: f(xm):=[-1.875,0.14,2,1.84,-0.14,-1.98]
Die ermittelten Koordinaten stellt man als Matrix dar,damit man die Punkte graphisch darstellen
kann.
9. ![]()

Die ermittelten Punkte lassen hier erkennen, dass die zu rekonstruierende Funktionsgleichung nur sehr ungenau zu ermitteln ist.
Für das weitere Arbeiten ist es wichtig, dass die mit Approx #3,#4 und #5 erhaltenen Ausdrücke
wieder mit a0, an bzw. bn definiert werden und anschließend erst die Reihe mit Approx #7 für verschiedene n bestimmt wird. Sonst gibt es Probleme mit dem Speicher; Meldung:Memory full !
Für den Vergleich der abgetasteten Funktion mit der rekonstruierten Funktion soll man wieder
2 Graphikfenster übereinander öffnen.
Aufgrund der Ungleichung
muss n
2 sein.

Damit ergibt sich folgende Funktionsgleichung :
f(x) = 0.0133cos(2x)-0.0115sin(2x)+1.9933cosx+0.9930sinx-0.0033
Die nächste Darstellung zeigt den Vergleich der ursprünglichen Funktion mit der Reihe für n=5!

Wählt man n größer als die Ungleichung vorschreibt, so bekommt man eine Funktion, die mit der ursprünglichen Funktion nichts mehr zu tun hat.
2.Betrachtung:
Die gleiche Funktion wird nun 12 mal abgetastet ( Man definiert q=12). Der Programmablauf ist gleich wie vorher.

Das erste Graphikfenster zeigt die ursprüngliche Funktion mit den ermittelten Punkten.

Das zweite Fenster stellt die Fourierreihe bis n = 2 dar.
f(x) = 0.0108cos(2x)-0.0014sin(2x)+1.9969cosx+0.9956sinx-0.0025
Das dritte Fenster für n = 3.
f(x) = -0.0033cos(3x)-0.9916sin(3x)+0.0108cos(2x)-0.0014sin(2x)+1.9969cosx+0.9956sinx-.0025
Berechnet man die Reihe für n= 4 so erhält man für die Koeffizienten :
sin(4x): 0.0101
cos(4x): 0.0024
Wenn man diese Ergebnisse mit der ursprünglichen Gleichung y= sinx+2cosx-sin(3x) vergleicht, so kann man erkennen ,dass die gefundenen Koeffizienten eine sehr gute Näherung liefern .
Vernachläßigt man alle Koeffizienten deren Werte im Hundertstelbereich liegen oder kleiner sind, dann erhält man:
f(x) = -0.99sin(3x) + 1.99cosx + 0.99sinx
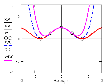
c) Näherungspolynome:
Näherungspolynome mit MathCad
f(x) = (cosx)^2 wird um die Stelle xo=0 durch Näherungspolynome angenähert.




![]()

Näherungspolynom um x0 = ![]()

Mit dem TI 92:
Mit [APPS] [6] (6:Data/Matrix Editor) [3] (3:New) wird bei Variable k eingegeben. Mit [ENTER] [ENTER] wird der Daten –Editor geöffnet.
![]() |
![]() |
![]() |
Man gibt zunächst die Matrix k und den Vektor k in allgemeiner Form ein. Anschließend speichert man x1, x2, x3 und x4 ab. Dann werden die Werte für x0 und h eingegeben und zum Schluss wird die Funktion f(x) abgespeichert. Für die Berechnung des Näherungspolynomes gibt man einen Zeilenvektor mit x0..x4 ein und bildet das Skalarprodukt mit den Koeffizienten a. |
![]() |
![]() |
![]() |
![]() |