Franz Kainz, HTBLA Kapfenberg,
| Mathematik und Maschinenbau |
Kurzzusammenfassung:
Mathematikanforderungen in den Unterrichtsgegenständen Mechanik, Maschinenelemente, Fördertechnik und Betriebslabor für Maschinenbauer an einer HTL
Lehrplanbezug:
Alle Jahrgänge der Abteilung Maschinenbau
Anmerkungen:
Die Anwendung mathematischer Verfahren ist in den einzelnen Gegenständen der Abteilung Maschinenbau von größter Bedeutung. Es sind faktisch alle Inhalte des neuen Mathematiklehrplans von Bedeutung, besonders die unten aufgelisteten Themen:
Formelumwandlungen
Flächen- und Volumsberechnungen
Potenz- und Wurzel- Rechnungen
Logarithmen, Exponential-Gleichungen
Quadratische- Gleichung
Lineare Gleichungssysteme
Winkelfunktionen, Goniometrische Gleichungen
Sinus- und Kosinus-Satz
Vektorrechnung
Geraden-, Kreis-, Parabel-, Hyperbel- und Ellipsen-Gleichung
Exponentialfunktion
Sinus- und Cosinus-Funktion
Arkus- Funktionen
Differential- und Integral-Rechnung
Extremwertberechnungen
Differentialgleichungen (homogen, inhomogen - 1. und 2. Ordnung)
Rechnerunterstützung : TI-92, Derive und Mathcad
Ausführung:
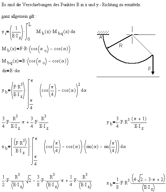
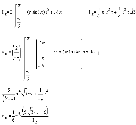
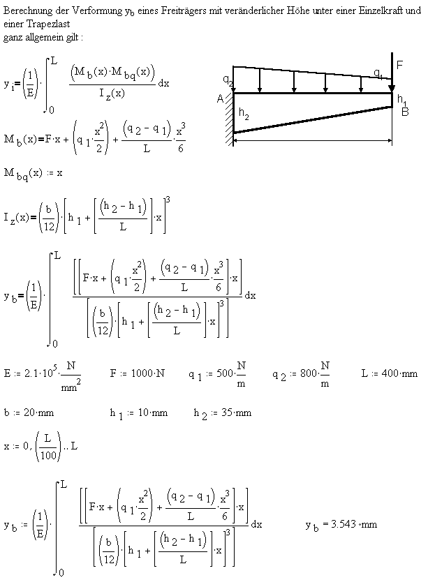
Anhand einiger unten angeführter Beispiele soll die Notwendigkeit mathematischer Kenntnisse demonstriert werden.
Dabei wird im wesentlichen auf die mathematischen Verfahren eingegegangen, ohne die technisch-physikalischen Überlegungen auszuführen. Diese können in entsprechenden Fachbüchern nachgelesen werden.
1. Beispiel

2. Beispiel

3. Beispiel



4. Beispiel

5. Beispiel


6. Beispiel

