Günter Redl, Höhere technische Bundeslehr- und Versuchsanstalt Mödling

Exakte Differentialgleichungen mit dem TI 92

Mathematische Inhalte:

Lösen einer exakten Differentialgleichung

Kurzzusammenfassung:

Eine exakte Differentialgleichung wird zunächst schrittweise mit dem TI92 gelöst. Der Lösungsvorgang wird anschließend in Form eines kurzen Programms automatisiert.

Lehrplanbezug:

4. Jahrgang: Differentialgleichungen

Zeitaufwand:

1-2 Doppelstunden

Anmerkung:

Die folgenden Beispiele setzen einen einigermaßen sicheren Umgang mit dem TI92 voraus!

Mediales Umfeld:

TI92 mit OH Display

 

1. Lösung einer exakten Differentialgleichung:

Eine Differentialgleichung der Form P(x,y)dx + Q(x,y)dy = 0 heißt exakt, wenn die Integrabilitätsbedingung erfüllt ist.

Für die Lösung u(x,y) = C müssen die Gleichungen und gelten.

Wir erhalten deshalb die Lösung durch folgenden Ansatz: . Das in dieser Gleichung auftretende Integral wird berechnet. Die Integrationskonstante kann jedoch noch von y abhängen: deshalb j (y). Wir können j (y) mit Hilfe der Gleichung berechnen. Dazu leiten wir das soeben berechnete u(x,y) partiell nach y ab und setzen das Ergebnis gleich Q(x,y). Beim Vereinfachen der entstandenen Gleichung müssen alle Teilterme, welche die Variable x enthalten, herausfallen. Ein Isolieren von j ’(y) und eine anschließende Integration nach y liefert j (y). Damit ist u(x,y) gefunden und u(x,y) = C ist das allgemeine Integral der exakten Differentialgleichung in impliziter Form.

 

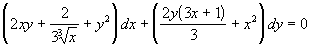
2. Ein konkretes Beispiel:

Die Lösung der Differentialgleichung ist zu berechnen!

1. Schritt:  

Angabe; Integrabilitätsbedingung:

2. Schritt: 

Lösungsansatz; partielle Ableitung nach y

3. Schritt: 

Vereinfachen; Integral; endgültige Lösung

4. Schritt 

Endgültige Lösung:

 

 

Mit der Tastenkombination ¨ s kann nun der vollständige home screen als Textvariable gespeichert werden. Öffnet man anschließend diese Variable mit dem Text Editor, dann erhält man:

 

Über F3 View - 1: Script View wird der Bildschirm in 2 Fenster geteilt: links das Beispiel als Text; rechts der (bereits gelöschte) home screen:

 

An dieser Stelle können nun weitere Beispiele geübt werden; z. B.: 

Im home screen werden die beiden Terme eingetippt und unter den Namen "p" bzw. "q" gespeichert.

Man wechselt nun in das Textfenster, stellt den Cursor in 3. Zeile und drückt F4 Execute. Das entsprechende Kommando (die Integrabilitätsbedingung) wird im home screen durchgeführt und das Ergebnis dargestellt. Der Cursor springt automatisch die 4. Zeile. Daher nochmals F4 und dann ein drittes Mal:

 

 

Der Rest der Berechnung erfolgt "händisch" im Home Screen (Mode - F2 - Split Screen -Full; ¨ Home):

Die Lösung: 

 

3. Ein Programm für exakte Differentialgleichungen:

 

Das folgende Beispiel hat bereits gezeigt, daß sich der Lösungsweg bis auf den letzten Schritt problemlos automatisieren läßt. Man kann nun leicht überlegen, daß man den fehlenden Term j (y) folgendermaßen berechnen kann:

Hier nun das vollständige TI 92 Programm mit einigen Beispielen: (die Lösung wird im Prgm IO Fenster angezeigt und unter dem Namen lsg gespeichert)

 

 

Hinweise:

1) Im "approximate mode" gibt es u. U. Probleme beim Überprüfen der Integrabilitätsbedingung durch das Programm (z. B. bei e - Potenzen in einem der beiden Terme). Das Programm meldet "Fehler", obwohl die Integrabilitätsbedingung erfüllt ist. Sie können dies an Hand des Beispiels aus Punkt 2 selbst testen. Arbeiten Sie daher bitte nur im "exact mode"! (Ein Umschalten in den "exact mode" durch das Programm selbst hat leider nicht zum Ziel geführt). Für einen Lösungsvorschlag per e-mail (guenter.redl@htl.minic.ac.at oder redlgue@ping.at) wäre ich sehr dankbar.

2) Auf der Internetseite

http://www.derive.com

finden Sie eine Programmbibliothek für den TI 92. Unter anderem auch Programme zum Lösen von Differentialgleichungen. Diese Programme sind aber sehr umfangreich und speicherintensiv.